סטיית תקן (standard deviation)
סטיית תקן היא מושג בסטטיסטיקה המתאר מדד של פיזור התצפיות סביב הממוצע החשבוני שלהן – כמה קבוצה מסוימת קרובה או רחוקה לממוצע שלה. ככל שסטיית התקן קטנה יותר, כך התצפיות קרובות יותר לממוצע, ככל שהן גדולות יותר, כך ניתן להעריך את טעות הדגימה.
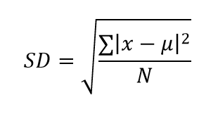
הנוסחה לחישוב סטיית תקן באוכלוסייה היא

משמעות המשוואה היא – השורש הריבועי של סכום (∑) ריבוע המרחק של כל הערכים מקובץ הנתונים (x) מהממוצע של קובץ הנתונים (μ) בערך מוחלט, חלקי מספר נקודות המידע באוכלוסייה (N).
חישוב סטיית התקן עלול להיות מסורבל, ולכן ברוב המקרים הוא מבוצע כיום באופן ממוחשב. עם זאת, הדבר בהחלט אפשרי, ויכול לעזור בהבנת המושג.
לסטיית התקן תפקיד חשוב ברפואה, כך לדוגמא כאשר נמדד ערך מסוים בעל פיזור נורמלי באוכלוסייה, אנו יכולים לדעת ש-95% מהאנשים באוכלוסייה נמצאים במרחק של 2 סטיות תקן מהממוצע, תמיד, ולכן כל מדידה שאינה נמצאת בטווח הזה, תחשב כלא נורמלית. בנוסף, במחקרים הערך בעצם יכול ללמד אותנו על השונות הקיימת בעצם בין המדידות והערכים הנבדקים – אם הערך גבוה יותר, כך אנו יודעים שישנו שוני גדול יותר .








